中古 Aputure Spotlight Mount Set 場所 さいたま市, 埼玉県, 日本
中古
Doubleclick to zoom in
売り手に連絡
追加の写真や情報を依頼する
仕様
説明
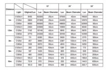
Aputure Spotlight Mount Setは、Bowensマウントのスポットライトマウントライトモディファイアです。光線を正確にモディファイでき、ライトを正確に整形したり、特定のパターンを作成できます(対応機種はアクセサリー互換表をご確認ください)。付属のゴボ、ゴボホルダー、ゲルフレームを使用することにより、光の形をより細かく制御可能です。レンズは19°26°36°の3タイプ。設置はライト付属のスタンドではなく、オプションのセンチュリースタンドを使用ください。
スポットライトマウント
19° 26° 36° のいずれかのレンズ
ゴボ(Tree, window, Breakup)
ゴボホルダー
ゲルホルダー
アイリスアダプター
カラーエフェクトフィルター
もっと見つけます
この機械に関心がありますか?
この売り手は過去1週間に1回問い合わせを受けています。





